Casual Game GuidesCasual Game Guides
Walkthroughs / Green City 2

Green City 2

Our Green City 2 Walkthrough is the cure for your frustration as you attempt to help beautify your cities through 54 grueling levels of exhilarating time management fun. Here you'll find video solutions to each and every level so you'll always have a quick answer for when you run across a particularly troublesome level.
Ask for help in the comments below!

Welcome to our Green City 2 Walkthrough, where you'll find everything you need to know to beat this challenging time management game. Here you'll discover vital information about each building and upgrade as well as videos of each and every level so you can see exactly how to obtain 3 stars and meet all the achievements. 

 

Title Screen

How to Play

At the start of each level, you are presented with a set of goals and a usually unenviable starting situation. You need to decide which buildings to erect, repair, upgrade, sell, or demolish as you go along.

Top bar:

  • Eco points
  • Population
  • Extra electrical capacity
  • Number of workers available to work and total number of workers
  • Cash balance and income,
  • Time. 
  • Purchase workers for $1000 each with the button under the worker total

Side bar:

  • Goals for the level and progress to the goal. 
  • An achieved goal will have a green check mark and you can hover over the goal to see what it was originally. 
  • When a goal is for construction, note whether you have to construct it (crane icon) or own it (key icon). 
  • If the goal is for construction, you can either sell the building or destroy it once completed. 

Bottom bar:

  • Large round house button will show and hide the construction bar
  • You have 4 types of construction to choose from and selecting one will show the buildings bar for that type. 
  • If you do not have the resources to build, it will be grayed out and have red numbers. 
  • Note the dots in the upper left corner; this shows how much space a building will take.
  • Hovering over the building type will show you the population, income, eco, and electrical values. 

Main area:

  • Hovering over a building will show you current values for the building and the number of eco and/or electrical upgrades.
  • Clicking on the building will show up to 4 buttons (which are grayed out if you do not have the resources).
  • From left to right (as available) there is eco upgrade, electrical upgrade, sell, and demolish.
  • Hovering over each individual button will show the cost.
  • In addition, if the building is repairable you will find the repair button.
  • If a building is yours and operable, destroying will return you half the initial cost of the building (not including upgrades). 
  • If the building is abandoned or rubble, you will have to pay to clear the damage. 

 

HINTS: 

  • The best way to make money at the beginning of a level is to upgrade your housing buildings and sell them.  Every dollar spent in building will return 2 dollars upon sale.
  • Combinations of offices and stores are needed to get those income amounts up.
  • Don't forget to place eco constructions touching housing to increase rents.  This doesn't work for commerce or electrical buildings. 

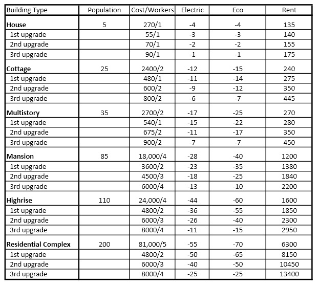
Population:  Each type of building has a certain population.  There is no way to upgrade this amount.  If you sell a building, the population will still be included in the total. 

Making money:

  • Rents from housing.  Each building has a standard rent that can be increased by upgrading the eco.
  • Sales of buildings:  Each building can be sold for twice the cost you put into it.  This is a great way to make money as you double your investment.  When a building is sold, you still get credit for the population, amount of eco, and amount of electricity used at the time of sale.
  • Increasing rents with eco construction:  Each promenade, park, or reserve that touches a housing building will increase the eco.  When full upgraded, each unit will increase the rent between 21% to 25%.  For rent increasing, you would want to put as many promenades around a building as you can manage.
  • Demolishing owned buildings will return half of initial cost of construction.

Commerce buildings:

  • Population based:  Cafes and Offices will pay a certain amount for your population, even if you do not currently own the housing.  However, each person will only be counted in one of these buildings so you don't want to have higher capacity in the cafe or office than you do population.  For example, you have 100 population--it would not help to have any more than 1 office.
  • Income based:  Stores and malls will pay a certain percentage of your income back to you.  See the charts for how much.
  • Ecology based:  Hotels will pay based on the total number of ecology points.
  • Interest based:  Banks will pay very generous interest based on your total cash balance (and it compounds).

Ecology:

  • Eco points work in several ways.
  • Sometimes you will have a goal for a total amount and you need to build and upgrade until you get to that goal.  Buildings take away eco so you need to upgrade to reduce the damage (and get higher income).
  • Eco construction touching housing will increase the rent.
  • Damaged buildings and trash will reduce the total eco value.
  • Eco constructions include promenades (vertical and horizontal), parks, and nature reserves.  All this do is boost the number of points.  They do not require electricity to run.
  • Water purification stations and air monitoring stations use electricity and they boost the total eco by a certain percentage based on which building and how upgraded it is.

Electricity:

  • Each building requires electricity to run. 
  • At the beginning of the level, you will miraculously have a certain amount you can use but beyond that you need to either upgrade your buildings electricity to decrease the electrical usage or build the different electricity generating buildings. 

And that's pretty much all you need to know to start playing Green City 2! Check out a video solution if you get stuck on a level. Special thanks to Sipason for putting the videos together. We hope you enjoy our Green City 2 Walkthrough

Ask for help in the comments below!